Internal Leakage
What is internal leakage
As discussed in the overview of positive displacement pumps, fixed displacement, regardless of outlet pressure, is only theoretical. Material flex, internal leakage (“blow-by”), wear, and other variables result in varying amounts of pressure dependence. Here we will look at the details of internal leakage.

Internal Leakage at Tips in a Gear Pump
Internal leakage results from the imperfect fit between components in a pump assembly. Regardless of how well the two components conform to one another, microscopic gaps will exist, and fluids will move through them. Internal leakage is typically linearly related to a fluid’s dynamic viscosity and, therefore, becomes more pronounced for low viscosity fluids.
Internal leakage is not always undesired. Lubrication of gear pump bearings requires flow from areas of high pressure to low pressure to establish a correct hydrodynamic bearing. In some pumps internal leakage is used to limit the maximum pressure to prevent system over-pressure.
Some pump designs eliminate internal leakage through the use of compliant materials with interference fits (i.e. seals). These strategies can eliminate nearly all internal leakage. However, they introduce sliding wear, which creates other problems. This article will not focus on sliding seals.
Rotary Positive Displacement Pumps
The two common sources of internal leakage in rotary pumps are tip clearance and face clearance. Not all pumps have both types, for example, vane pumps do not have tip clearance because the vanes actively slide against the wall. Internal leakage in rotary positive displacement pumps not only reduces flow rate but also reduces maximum pressure and ability to prime.
Tip Clearance
Clearance at gear, rotor, or lobe tips is an important source of internal leakage. Without pressure, the fluid reaches the tip velocity at the surface of the tip and zero velocity at the cavity wall, with a linear distribution in between. However, when the outlet has a high enough pressure, the middle of the curve can invert, resulting in some fluid flowing backward. At blocked flow pressure (flow rate equals zero) the volume of fluid moving forward is equal to the fluid moving backward (ignoring other sources of leakage).

Gear Tip Fluid Flow
Unlike other forms of internal leakage, tip clearance is extremely complicated to model. Considerations of both experimental data and physics models suggest the leakage mechanism is a hybrid of laminar flow (dependent on viscosity) and fluid inertia (dependent on density). The data suggests a dependence of internal leakage between h² and h³, where h is the radial clearance, and linear to the inverse of tip length.
Three methods are available to designers of internal and external gear pumps, gerotor pumps and lobe pumps to reduce the effect of leakage at the tips:
- Decrease the tip clearance. Doing so requires high, repeatable precision, excellent quality control and use of materials with minimal distortion due to fluid absorption, temperature differences, residual stresses and creep. These considerations must be applied to the gears, housing, bearings and shafts.
- Increase the length of the tip clearance. Doing so is a design choice because the tradeoff is a decrease in the volume per revolution. However, internal leakage is proportional to
and can by 75% in many instances.


Tip Optimized for Displacement Tip Optimized for Low Internal Leakage - Increase the number of teeth on the gears. Like increasing the length of the tip, having more teeth results in less volume per revolution. More teeth in close proximity to the cavity creates more “pressure seals” as shown in the pressure results below from a fluid dynamics simulation. Increasing the number of teeth can have added advantages of smoother flow and reduced noise.

Computational Fluid Dynamics Simulation of Gear Tip Leakage
Face Clearance
Internal leakage across the faces of rotating elements is the largest contributor to internal leakage for many rotary positive displacement pumps. The clearance in this direction is easier to control than tip clearance (less components in the tolerance stack-up), but the surface area is larger and flow rate is proportional to the cube of the gap (h3). Flow across the faces also lacks the advantage of numerous teeth along the leakage path and the high forward velocity at the tips of the gear teeth. The only option to decrease leakage across the face is to increase precision and quality of the components so that the clearance can be reduced.

Internal Leakage Across Gear Faces
Some pumps place PTFE gaskets between the pieces of the housing. These gaskets form a seal against external leakage. The thickness of these gaskets, however, factors into the face clearance directly. Over time and/or temperature the thickness of these gaskets may change, which can change the performance of the pump.
Reciprocating Positive Displacement Pumps
Reciprocating positive displacement pumps are ideal for metering or dispensing precise amounts of liquids. Not surprisingly, these pumps have the least internal leakage of the two classes of positive displacement pumps. However, the required precision for many applications still makes internal leakage an important aspect of pump design and production.
Check Valves
The source of internal leakage common to nearly all reciprocating pumps is the check valves integrated into the inlet and outlet. Most check valves in pumps are either diaphragm check valves (1) or ball check valves (not to be confused with ball valves) (2). Leakage on the inlet can lead to inadvertent positive pressure on the intake. Leakage on the outlet can pull liquid backward slightly from the discharge port. In either case, the effective dispense volume will be reduced.

Check Valve Examples in a Diaphragm Pump
Diaphragm check valves use flexible rubber that is positioned over a hole and is closed at steady state. Sealing relies on the unstressed shape of the diaphragm coupled with back pressure to prevent back leakage. Different shapes of diaphragm check valves include free-floating disc, flexing elastomer, duckbill, and umbrella. Back leakage can occur as the diaphragm flexes over time, debris interferes with the sealing surface, or abrasive particles in the fluid wear the seal or seat surfaces.
Spring loaded ball valves seal by creating a tight fit between the ball and seat. Often the seat is conical, guiding the ball into the seat for a quality seal. The construction is typically from hard materials to maximize life. However, the rigid materials lack the compliance necessary to conform to one another, resulting in microscopic paths for fluid to leak through.
Many companies specialize in quality check valve design and production. The materials, designs and fabrications methods are well developed. However, the inherent characteristics outlined above cannot be avoided. Valveless piston pumps offer a design free of check valves, although they have an additional source of internal leakage.
Piston clearances
Piston pumps and valveless piston pumps have a piston that slides inside of a cylinder. Deviations in straightness, size, circularity, and cylindricity result in gaps that the fluid can flow through. The amount of leakage is linearly dependent on the outlet pressure and will subtract from the dispensed volume.

Internal Leakage in a Piston Pump
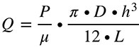
The leakage, as a function of pressure, between a piston and cylinder is
, where:
P = outlet pressure
µ = dynamic viscosity
D = piston diameter
h = radial clearance
L = length
Typically, the only variable available to pump designers is the clearance. Flow is proportional to h3, thus a high performing piston pump requires very tight clearance. To illustrate this, a common pump application with water is shown below with the clearance varying from 0 to 20µm. For precision applications the leakage must be significantly less than 1% of the desired displacement.

Piston Pump Internal Leakage as a Function of Clearance
Obtaining clearances of single digit micrometers (microns) is not simple. Variables such as shape, size, surface finish, thermal expansion, and machining techniques must be closely evaluated. Ceramic materials have characteristics that lend themselves perfectly to this application:
- Low thermal expansion
- Ability to be precision ground
- Small grain size
- No dimensional changes with wide range of fluids
Choice of the correct material is only the start of the solution. Next, one must implement highly controlled precision machining and quality control practices. This goes beyond typical ISO 9001 practices and requires in-depth knowledge and experience with delivering high quality on a microscopic scale.
Summary
Internal leakage is a reality that cannot be ignored for positive displacement pumps unless the user accepts limited life wear components used as sliding seals. The key to a hydraulically efficient and repeatable design is to use proper materials, high precision machining, 100% pump testing, and a disciplined quality assurance process. If an application requires accuracy, repeatability, and reliability, engineer-to-engineer communication is crucial to avoid surprises well into the development or production cycle.